中频炉谐振电容器是中频炉电源里不可缺失的一个重要部件,与感应线圈共同组成谐振电路,从而保证中频炉加热的正常运行。其与中频炉加热线圈并联则称之为并联谐振中频炉;与中频炉加热线圈串联则称之为串联谐振中频炉。由此可以看出谐振电容器在中频炉里的重要性,这里,海山电炉小编就来介绍中频炉谐振电容器。

一、中频炉谐振电容器介绍:
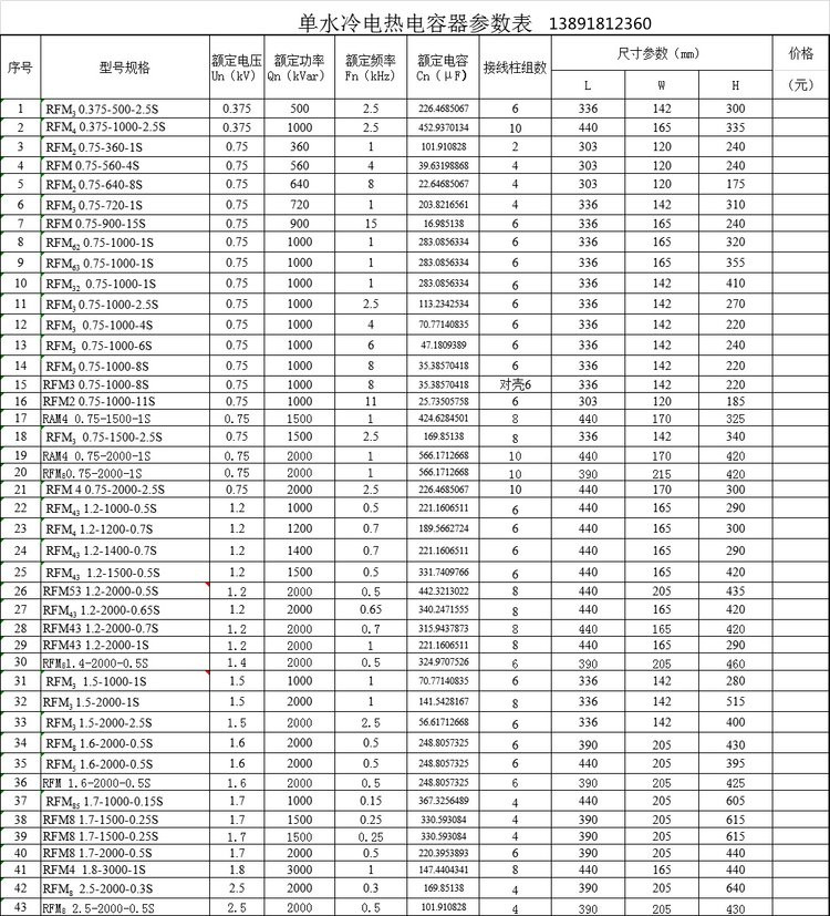
中频炉谐振电容器是以粗化聚丙烯薄膜并浸于高性能液体作复合介质,高纯铝箔作(电)极板;外壳为矩形铝合金油箱,常配有水冷管。主要用于额定电压不大于3.6kV,频率50kHz及以下的可控或可调的交流电力系统中,专门用来改善中频炉感应加热、熔化、搅拌或铸造装置,以及类似应用场合的功率因数。
中频炉谐振电容器经常制作成电容器柜给感应线圈提供无功功率补偿的装置,可以简单的理解为中频炉谐振电容器的多少直接影响中频炉功率的大小。电容柜的作用,是给感应线圈提供无功功率补偿的装置,可以简单的理解为电容的多少直接影响设备功率的大小。
二、中频炉电容器分类:
在中频炉的电源系统中电容器可以分成吸收电容,滤波电容,谐振电容三种,
1、吸收电容主要是用在阻容吸收保护电路中,一般吸收电容型号表示方法,容量/耐压值,如2μF/4KV表示容量是2μF,耐压值是4000V。
2、滤波电容是串联谐振电源中,提供稳定电压源的部分。滤波电容型号表示方法,耐压值—容量,如1.2-5000表示耐压值是1200V,容量是5000μF
3、谐振电容提供无功补偿,谐振电容型号的表示方法,耐压值-补偿无功功率数-频率,如3.0-6000-0.5S表示耐压值是3000V,能提供的无功功率数是6000Kvar,额定频率是500HZ。

三、中频炉谐振电容器的维护:
1、中频炉谐振电容器阴极接地
在中频电炉的运行和管理过程中,如果中频炉谐振电容器开始发热冒烟,首先要检查海山电炉的电容器,是否有阴极接地现象。这种现象通常是由于电容器绝缘不好,导致电容器外壳击穿。这样的现象,要对绝缘柜电容进行再处理。
2、中频炉谐振电容器缺水
为了防止中频炉谐振电容器因受热而烧坏,一般的中频电炉设备有不同的冷却控制系统。然而,长期使用可能会导致中频炉冷却管的冷凝器滤网上形成水垢,或者冷却水入口系统中的碎屑堵塞,这将导致水资源短缺,导致加热和燃烧。因此,海山机电小编建议,在使用和管理中频炉的过程中,我们必须定期检查冷却水的流量变化。
3、中频炉谐振电容器的高电压
除了上述原因之外,中频炉的高电压也是中频炉谐振电容器烧毁的原因之一。通常,电容器有其额定功率。在使用中频电炉时,如果中频电炉过高,超过所配电加热电容器的额定功率,也会造成电压击穿,导致中频炉谐振电容器烧毁。这种解决方案是故障炉或较低的中频电压。如果运行设计要求工作电压过高,建议用耐压型和更高型的电热电容器代替。

029-84367828